W tym zadaniu musisz skorzystać z zależności między kobietami a mężczyznami przed zmianami oraz z zależności między mężczyznami, a wszystkimi osobami po zmianach, aby wyliczyć liczbę pań i panów po zmianach.
x – liczba pań w kolejce na początku
y – liczba panów w kolejce na początku
x – 1 + 2 – liczba pań w kolejce po zmianach
y – 4 – liczba panów w kolejce po zmianach
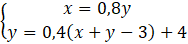
y = 0,4(0,8y + y – 3) + 4
y = 0,4(1,8y – 3) + 4
y = 0,72y – 1,2 + 4 /-0,72y
0,28y = 2,8 /:0,28
y = 10
x = 0,8y = 0,8 ∙ 10 = 8
x – 1 + 2 = 8 + 1 = 9
y – 4 = 10 – 4 = 6
Odp. Po zmianach, w kolejce było 9 pań i 6 panów.
Na początku musisz oznaczyć symbolami liczbę pań i panów na początku. Musisz również zapisać ich liczbę po zmianach. Następnie musisz zapisać pierwsze równanie, w którym liczba kobiet stanowi 80% liczby mężczyzn. Drugim równaniem będzie to, że liczba mężczyzn po zmianach stanowi 0% wszystkich osób po zmianach. Na końcu musisz obliczyć liczbę pań i panów po zmianach.
Zadanie 1
84Zadanie 2
84Zadanie 4
84Zadanie 5
84Zadanie 8
85Zadanie 9
85Zadanie 10
85Zadanie 11
85Zadanie 12
85Zadanie 13
86Zadanie 14
86Zadanie 17
86Zadanie 1
87Zadanie 2
87Zadanie 3
87Zadanie 4
87Zadanie 5
87Zadanie 6
87Zadanie 7
88Zadanie 9
88Zadanie 14
89Zadanie 15
89Zadanie 16
89Zadanie 18
89Zadanie 19
89Zadanie 21
89Zadanie 1
90Zadanie 2
90Zadanie 3
90Zadanie 4
90Zadanie 5
90Zadanie 6
90Zadanie 7
90Zadanie 8
91Zadanie 9
91Zadanie 10
91Zadanie 11
91Zadanie 12
91Zadanie 13
91Zadanie 14
92Zadanie 16
92Zadanie 18
92Zadanie 21
92Zadanie 12
94Zadanie 5
97Zadanie 1
101Zadanie 6
101Zadanie 7
101Zadanie 10
102Zadanie 11
102Zadanie 12
102Zadanie 13
102