W tym zadaniu musisz skorzystać z ilości naczyń przed wejściem słonia i zależności między naczyniami po przejściu słonia, aby wskazać, ile rodzajów poszczególnych naczyń było w składzie przed pojawieniem się zwierzęcia.
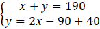
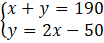
x – liczba filiżanek przed wejściem słonia
y – liczba talerzyków przed wejściem słonia
x + 2x – 50 = 190 /+50
3x = 240 /:3
x = 80
y = 2 ∙ 80 – 50 = 160 – 50 = 110
Odp. W składzie porcelany przed wejściem słonia było 80 filiżanek i 110 talerzyków.
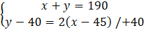
Na początku musisz oznaczyć symbolami liczbę filiżanek i talerzyków przed wejściem słonia. Następnie musisz zapisać pierwsze równanie, w którym suma liczby naczyń na początku wynosi 190. Drugim równaniem będzie to, że liczba talerzy pomniejszona o 40 to dwukrotność liczby filiżanek pomniejszonej o 45.
Zadanie 1
84Zadanie 2
84Zadanie 4
84Zadanie 5
84Zadanie 8
85Zadanie 9
85Zadanie 10
85Zadanie 11
85Zadanie 12
85Zadanie 13
86Zadanie 14
86Zadanie 17
86Zadanie 1
87Zadanie 2
87Zadanie 3
87Zadanie 4
87Zadanie 5
87Zadanie 6
87Zadanie 7
88Zadanie 9
88Zadanie 14
89Zadanie 15
89Zadanie 16
89Zadanie 18
89Zadanie 19
89Zadanie 21
89Zadanie 1
90Zadanie 2
90Zadanie 3
90Zadanie 4
90Zadanie 5
90Zadanie 6
90Zadanie 7
90Zadanie 8
91Zadanie 9
91Zadanie 10
91Zadanie 11
91Zadanie 12
91Zadanie 13
91Zadanie 14
92Zadanie 16
92Zadanie 18
92Zadanie 21
92Zadanie 12
94Zadanie 5
97Zadanie 1
101Zadanie 6
101Zadanie 7
101Zadanie 10
102Zadanie 11
102Zadanie 12
102Zadanie 13
102