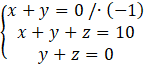
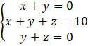
W tym zadaniu musisz znaleźć trójkę liczb x, y, z, dla których wszystkie równania
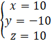
-z + y + z = -10 + 0
y = -10
x + (-10) = 0
x – 10 = 0 /+10
x = 10
Odp.
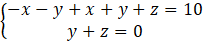
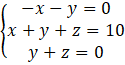
Na początku zadania musisz pomnożyć którekolwiek równanie z dwoma niewiadomymi przez -1. W kolejnym kroku musisz dodać do siebie równania z trzema niewiadomymi i równanie przemnożone przez -1 stronami. Wybrane niewiadome zredukują się ze sobą. Musisz rozwiązać równanie z jedną niewiadomą. Po wyliczeniu wartości pozostałej niewiadomej musisz podstawić ją do równań z układu, a następnie je rozwiązać, aby wyznaczyć wartości pozostałych niewiadomych.
Zadanie 1
84Zadanie 2
84Zadanie 4
84Zadanie 5
84Zadanie 8
85Zadanie 9
85Zadanie 10
85Zadanie 11
85Zadanie 12
85Zadanie 13
86Zadanie 14
86Zadanie 17
86Zadanie 1
87Zadanie 2
87Zadanie 3
87Zadanie 4
87Zadanie 5
87Zadanie 6
87Zadanie 7
88Zadanie 9
88Zadanie 14
89Zadanie 15
89Zadanie 16
89Zadanie 18
89Zadanie 19
89Zadanie 21
89Zadanie 1
90Zadanie 2
90Zadanie 3
90Zadanie 4
90Zadanie 5
90Zadanie 6
90Zadanie 7
90Zadanie 8
91Zadanie 9
91Zadanie 10
91Zadanie 11
91Zadanie 12
91Zadanie 13
91Zadanie 14
92Zadanie 16
92Zadanie 18
92Zadanie 21
92Zadanie 12
94Zadanie 5
97Zadanie 1
101Zadanie 6
101Zadanie 7
101Zadanie 10
102Zadanie 11
102Zadanie 12
102Zadanie 13
102