W tym zadaniu musisz skorzystać z kwoty, którą zapłacono za ciasta i z ceny ciast za 1 kg, aby wskazać ciasto, którego kupiono więcej. Na końcu musisz obliczyć różnicę między wagami kupionych ciast.
x – waga babki w kg
y – waga makowca w kg
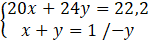
20(1 – y) + 24y = 22,2
20 – 20y + 24y = 22,2 /-20
4y = 2,2 /:4
y = 0,55
x = 1 – y = 1 – 0,55 = 0,45
0,55 – 0,45 = 0,1 [kg] = 10 [dag]
Odp. Kasia kupiła o 10 dag makowca więcej.
Na początku musisz oznaczyć symbolami wagę babki i makowca. Następnie musisz zapisać pierwsze równanie, w którym suma kwot zapłaconych za ciasta o odpowiednich wagach wynosi 22,2. Drugim równaniem będzie to, że waga ciast wynosi w sumie 1 kg. Na końcu musisz odjąć obliczone wagi od siebie i wynik zapisać w dekagramach.
Zadanie 1
84Zadanie 2
84Zadanie 4
84Zadanie 5
84Zadanie 8
85Zadanie 9
85Zadanie 10
85Zadanie 11
85Zadanie 12
85Zadanie 13
86Zadanie 14
86Zadanie 17
86Zadanie 1
87Zadanie 2
87Zadanie 3
87Zadanie 4
87Zadanie 5
87Zadanie 6
87Zadanie 7
88Zadanie 9
88Zadanie 14
89Zadanie 15
89Zadanie 16
89Zadanie 18
89Zadanie 19
89Zadanie 21
89Zadanie 1
90Zadanie 2
90Zadanie 3
90Zadanie 4
90Zadanie 5
90Zadanie 6
90Zadanie 7
90Zadanie 8
91Zadanie 9
91Zadanie 10
91Zadanie 11
91Zadanie 12
91Zadanie 13
91Zadanie 14
92Zadanie 16
92Zadanie 18
92Zadanie 21
92Zadanie 12
94Zadanie 5
97Zadanie 1
101Zadanie 6
101Zadanie 7
101Zadanie 10
102Zadanie 11
102Zadanie 12
102Zadanie 13
102