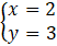
W tym zadaniu musisz sprawdzić, które równania spełnia para liczb x = 2, y = 3. Następnie musisz stworzyć z nich układ równań.
I. 4x – y = 8
4x – y = 4 ∙ 2 – 3 = 8 – 3 = 5 ≠ 8
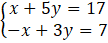
II. x + 5y = 17
x + 5y = 2 + 5 ∙ 3 = 2 + 15 = 17
III. -x + 3y = 7
-x + 3y = -2 + 3 ∙ 3 = -2 + 9 = 7
IV. 5x – 8y = -1
5x – 8y = 5 ∙ 2 – 8 ∙ 3 = 10 – 24 = -14 ≠ -1
Odp. Para liczb
W tym zadaniu musisz podstawić w każdym z czterech równań wartości niewiadomych x = 2, y = 3. Następnie musisz sprawdzić, dla których z równań wartość lewej strony jest równa prawej. Z tych dwóch równań musisz na końcu ułożyć układ równań.
Zadanie 1
84Zadanie 2
84Zadanie 4
84Zadanie 5
84Zadanie 8
85Zadanie 9
85Zadanie 10
85Zadanie 11
85Zadanie 12
85Zadanie 13
86Zadanie 14
86Zadanie 17
86Zadanie 1
87Zadanie 2
87Zadanie 3
87Zadanie 4
87Zadanie 5
87Zadanie 6
87Zadanie 7
88Zadanie 9
88Zadanie 14
89Zadanie 15
89Zadanie 16
89Zadanie 18
89Zadanie 19
89Zadanie 21
89Zadanie 1
90Zadanie 2
90Zadanie 3
90Zadanie 4
90Zadanie 5
90Zadanie 6
90Zadanie 7
90Zadanie 8
91Zadanie 9
91Zadanie 10
91Zadanie 11
91Zadanie 12
91Zadanie 13
91Zadanie 14
92Zadanie 16
92Zadanie 18
92Zadanie 21
92Zadanie 12
94Zadanie 5
97Zadanie 1
101Zadanie 6
101Zadanie 7
101Zadanie 10
102Zadanie 11
102Zadanie 12
102Zadanie 13
102