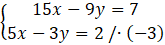
W tym zadaniu musisz sprawdzić czy układ równań
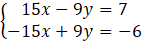
15x – 9y – 15x + 9y = 7 – 6
0 = 1
Sprzeczność - układ sprzeczny
Odp. Układ jest sprzeczny.
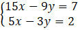
Na początku rozwiązywania układu musisz pomnożyć drugie równanie przez pewną liczbę tak, aby liczby stojące przy niewiadomych w obu równaniach były sobie przeciwne. Następnie musiszdodać oba równania do siebie stronami. Jeśli po uproszczeniu równania pozostanie w nim jedna niewiadoma to układ jest oznaczony (ma dokładnie jedno rozwiązani). Jeśli po uproszczeniu niewiadome i liczby zredukują się ze sobą, a lewa strona równania jest taka sama jak prawa to układ jest nieoznaczony (ma nieskończenie wiele rozwiązań). Jeśli po uproszczeniu niewiadome i liczby zredukują się ze sobą, a obie strony równania są różne to układ jest sprzeczny (nie ma rozwiązania).
Zadanie 1
84Zadanie 2
84Zadanie 4
84Zadanie 5
84Zadanie 8
85Zadanie 9
85Zadanie 10
85Zadanie 11
85Zadanie 12
85Zadanie 13
86Zadanie 14
86Zadanie 17
86Zadanie 1
87Zadanie 2
87Zadanie 3
87Zadanie 4
87Zadanie 5
87Zadanie 6
87Zadanie 7
88Zadanie 9
88Zadanie 14
89Zadanie 15
89Zadanie 16
89Zadanie 18
89Zadanie 19
89Zadanie 21
89Zadanie 1
90Zadanie 2
90Zadanie 3
90Zadanie 4
90Zadanie 5
90Zadanie 6
90Zadanie 7
90Zadanie 8
91Zadanie 9
91Zadanie 10
91Zadanie 11
91Zadanie 12
91Zadanie 13
91Zadanie 14
92Zadanie 16
92Zadanie 18
92Zadanie 21
92Zadanie 12
94Zadanie 5
97Zadanie 1
101Zadanie 6
101Zadanie 7
101Zadanie 10
102Zadanie 11
102Zadanie 12
102Zadanie 13
102