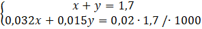
W tym zadaniu musisz skorzystać z sumy mas jogurtów oraz sumy mas tłuszczu w jogurtach, aby wyliczyć masę każdego z użytych jogurtu.
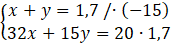
x – masa jogurtu o zawartości tłuszczu 3,2% w kilogramach
y – masa jogurtu o zawartości tłuszczu 1,5% w kilogramach
-15x – 15y + 32x + 15y = -25,5 + 34
17x = 8,5 /:17
x = 0,5
0,5 + y = 1,7 /-0,5
y = 1,2
Odp. Użyto 0,5 kg jogurtu o zawartości tłuszczu 3,2% i 1,2 kg jogurtu o zawartości tłuszczu 1,5%.
Na początku musisz oznaczyć symbolami masy obu jogurtów. Następnie musisz zapisać pierwsze równanie, w którym suma mas obu jogurtów wynosi 1,7. Drugim równaniem będzie to, że suma ilości tłuszczu w poszczególnych jogurtach jest równa ilości tłuszczu w 1,7 kg 2-procentowego jogurtu.
Zadanie 1
84Zadanie 2
84Zadanie 4
84Zadanie 5
84Zadanie 8
85Zadanie 9
85Zadanie 10
85Zadanie 11
85Zadanie 12
85Zadanie 13
86Zadanie 14
86Zadanie 17
86Zadanie 1
87Zadanie 2
87Zadanie 3
87Zadanie 4
87Zadanie 5
87Zadanie 6
87Zadanie 7
88Zadanie 9
88Zadanie 14
89Zadanie 15
89Zadanie 16
89Zadanie 18
89Zadanie 19
89Zadanie 21
89Zadanie 1
90Zadanie 2
90Zadanie 3
90Zadanie 4
90Zadanie 5
90Zadanie 6
90Zadanie 7
90Zadanie 8
91Zadanie 9
91Zadanie 10
91Zadanie 11
91Zadanie 12
91Zadanie 13
91Zadanie 14
92Zadanie 16
92Zadanie 18
92Zadanie 21
92Zadanie 12
94Zadanie 5
97Zadanie 1
101Zadanie 6
101Zadanie 7
101Zadanie 10
102Zadanie 11
102Zadanie 12
102Zadanie 13
102