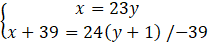
W tym zadaniu musisz skorzystać ze średniej wieku studentów oraz średniej wieku studentów wraz z profesorem, aby wyliczyć liczbę studentów w grupie.
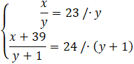
x – suma wieku studentów w grupie
y – liczba studentów w grupie
23y = 24y + 24 – 39 /-24y
-y = -15 /∙(-1)
y = 15
Odp. W tej grupie jest 15 studentów.
Na początku musisz oznaczyć symbolami sumę wieku i liczbę wszystkich studentów. Następnie musisz zapisać pierwsze równanie, w którym średnia wieku studentów to 23. Drugim równaniem będzie to, że po zwiększeniu licznika średniej o 39 i mianownika o 1 wynik średniej to 24.
Zadanie 1
84Zadanie 2
84Zadanie 4
84Zadanie 5
84Zadanie 8
85Zadanie 9
85Zadanie 10
85Zadanie 11
85Zadanie 12
85Zadanie 13
86Zadanie 14
86Zadanie 17
86Zadanie 1
87Zadanie 2
87Zadanie 3
87Zadanie 4
87Zadanie 5
87Zadanie 6
87Zadanie 7
88Zadanie 9
88Zadanie 14
89Zadanie 15
89Zadanie 16
89Zadanie 18
89Zadanie 19
89Zadanie 21
89Zadanie 1
90Zadanie 2
90Zadanie 3
90Zadanie 4
90Zadanie 5
90Zadanie 6
90Zadanie 7
90Zadanie 8
91Zadanie 9
91Zadanie 10
91Zadanie 11
91Zadanie 12
91Zadanie 13
91Zadanie 14
92Zadanie 16
92Zadanie 18
92Zadanie 21
92Zadanie 12
94Zadanie 5
97Zadanie 1
101Zadanie 6
101Zadanie 7
101Zadanie 10
102Zadanie 11
102Zadanie 12
102Zadanie 13
102