W tym zadaniu musisz skorzystać z sumy mas solanek oraz sumy ilości soli w solankach, aby wyliczyć masy zmieszanych roztworów.
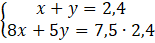
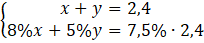
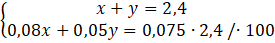
x – masa solanki 8-procentowej w kilogramach
y – masa solanki 5-procentowej w kilogramach
-5x – 5y + 8x + 5y = -12 + 18
3x = 6 /:3
x = 2
2 + y = 2,4 /-2
y = 0,4
Odp. A. Solanki 8-procentowej wzięto 5 razy więcej niż solanki 5-procentowej.
Na początku musisz oznaczyć symbolami masy obu solanek. Następnie musisz zapisać pierwsze równanie, w którym suma mas obu solanek wynosi 2,4. Drugim równaniem będzie to, że suma ilości soli w poszczególnych solankach jest równa ilości soli w 2,4 kg 7,5-procentowej solanki.
Zadanie 1
84Zadanie 2
84Zadanie 4
84Zadanie 5
84Zadanie 8
85Zadanie 9
85Zadanie 10
85Zadanie 11
85Zadanie 12
85Zadanie 13
86Zadanie 14
86Zadanie 17
86Zadanie 1
87Zadanie 2
87Zadanie 3
87Zadanie 4
87Zadanie 5
87Zadanie 6
87Zadanie 7
88Zadanie 9
88Zadanie 14
89Zadanie 15
89Zadanie 16
89Zadanie 18
89Zadanie 19
89Zadanie 21
89Zadanie 1
90Zadanie 2
90Zadanie 3
90Zadanie 4
90Zadanie 5
90Zadanie 6
90Zadanie 7
90Zadanie 8
91Zadanie 9
91Zadanie 10
91Zadanie 11
91Zadanie 12
91Zadanie 13
91Zadanie 14
92Zadanie 16
92Zadanie 18
92Zadanie 21
92Zadanie 12
94Zadanie 5
97Zadanie 1
101Zadanie 6
101Zadanie 7
101Zadanie 10
102Zadanie 11
102Zadanie 12
102Zadanie 13
102