W tym zadaniu musisz skorzystać ze równości średnich wieków obu drużyn oraz średniej wieku sumy lat obu drużyn, aby wyliczyć wiek Michała i Kingi.
x – wiek Kingi
y – wiek Michała
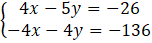
4x – 5y – 4x - 4y = -26 - 136
-9y = -162 /:(-9)
y = 18
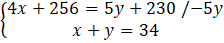
x + 18 = 34 /-18
x = 16
Odp. Michał ma 18 lat, a Kinga 16.
Na początku musisz oznaczyć symbolami wiek Kingi i Michała. Następnie musisz zapisać pierwsze równanie, w którym średnia wieku 5-osobowej drużyny Kingi jest równa średniej wieku 4-osobowej drużyny Michała. Drugim równaniem będzie to, że średnia wieku wszystkich 9 osób to 16.
Zadanie 1
84Zadanie 2
84Zadanie 4
84Zadanie 5
84Zadanie 8
85Zadanie 9
85Zadanie 10
85Zadanie 11
85Zadanie 12
85Zadanie 13
86Zadanie 14
86Zadanie 17
86Zadanie 1
87Zadanie 2
87Zadanie 3
87Zadanie 4
87Zadanie 5
87Zadanie 6
87Zadanie 7
88Zadanie 9
88Zadanie 14
89Zadanie 15
89Zadanie 16
89Zadanie 18
89Zadanie 19
89Zadanie 21
89Zadanie 1
90Zadanie 2
90Zadanie 3
90Zadanie 4
90Zadanie 5
90Zadanie 6
90Zadanie 7
90Zadanie 8
91Zadanie 9
91Zadanie 10
91Zadanie 11
91Zadanie 12
91Zadanie 13
91Zadanie 14
92Zadanie 16
92Zadanie 18
92Zadanie 21
92Zadanie 12
94Zadanie 5
97Zadanie 1
101Zadanie 6
101Zadanie 7
101Zadanie 10
102Zadanie 11
102Zadanie 12
102Zadanie 13
102