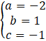
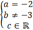
W tym zadaniu musisz dobrać takie współczynniki do drugiego równania, aby układ miał
2x + 3y + ax + by = 4 + c
(2 + a)x + (3+b)y = 4+c
Na przykład:
Odp. Na przykład:
Na początku zadania musisz dodać oba równania do siebie stronami. Następnie musisz wyłączyć wspólne czynnik parami po lewej stronie równania. Aby układ był oznaczony po lewej stronie musi zostać jedna niewiadoma, więc współczynnik przy drugiej musi wynosić 0. Współczynnik przy niewiadomej, która ma zostać w równaniu musi być różny od 0. Liczba po prawej stronie równania może być dowolna.
Zadanie 1
84Zadanie 2
84Zadanie 4
84Zadanie 5
84Zadanie 8
85Zadanie 9
85Zadanie 10
85Zadanie 11
85Zadanie 12
85Zadanie 13
86Zadanie 14
86Zadanie 17
86Zadanie 1
87Zadanie 2
87Zadanie 3
87Zadanie 4
87Zadanie 5
87Zadanie 6
87Zadanie 7
88Zadanie 9
88Zadanie 14
89Zadanie 15
89Zadanie 16
89Zadanie 18
89Zadanie 19
89Zadanie 21
89Zadanie 1
90Zadanie 2
90Zadanie 3
90Zadanie 4
90Zadanie 5
90Zadanie 6
90Zadanie 7
90Zadanie 8
91Zadanie 9
91Zadanie 10
91Zadanie 11
91Zadanie 12
91Zadanie 13
91Zadanie 14
92Zadanie 16
92Zadanie 18
92Zadanie 21
92Zadanie 12
94Zadanie 5
97Zadanie 1
101Zadanie 6
101Zadanie 7
101Zadanie 10
102Zadanie 11
102Zadanie 12
102Zadanie 13
102