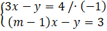
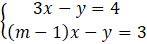
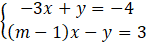
W tym zadaniu musisz wyznaczyć wartość m, dla której układ
-3x + y + (m – 1)x – y = -4 + 3
(-3 + m – 1)x = -1
(m – 4)x = -1
m – 4 = 0 /+4
m = 4
Odp. D. m = 4
Na początku musisz doprowadzić do przeciwnych współczynników przy niewiadomej y. Następnie musisz dodać oba równania do siebie stronami. Po zredukowaniu wyrazów podobnych musisz wyłączyć wspólny czynnik przed nawias. Nawias ze zmienną a musisz przyrównać do 0 i obliczyć wartość a, dla której lewa i prawa strona równania jest różna (układ jest sprzeczny).
Zadanie 1
84Zadanie 2
84Zadanie 4
84Zadanie 5
84Zadanie 8
85Zadanie 9
85Zadanie 10
85Zadanie 11
85Zadanie 12
85Zadanie 13
86Zadanie 14
86Zadanie 17
86Zadanie 1
87Zadanie 2
87Zadanie 3
87Zadanie 4
87Zadanie 5
87Zadanie 6
87Zadanie 7
88Zadanie 9
88Zadanie 14
89Zadanie 15
89Zadanie 16
89Zadanie 18
89Zadanie 19
89Zadanie 21
89Zadanie 1
90Zadanie 2
90Zadanie 3
90Zadanie 4
90Zadanie 5
90Zadanie 6
90Zadanie 7
90Zadanie 8
91Zadanie 9
91Zadanie 10
91Zadanie 11
91Zadanie 12
91Zadanie 13
91Zadanie 14
92Zadanie 16
92Zadanie 18
92Zadanie 21
92Zadanie 12
94Zadanie 5
97Zadanie 1
101Zadanie 6
101Zadanie 7
101Zadanie 10
102Zadanie 11
102Zadanie 12
102Zadanie 13
102