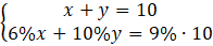
W tym zadaniu musisz skorzystać z sumy mas roztworów oraz sumy ilości azotanu potasu w roztworach, aby wyliczyć ile gram każdego z roztworów powinno się wziąć.
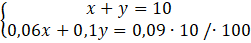
x – masa 6-procentowego roztworu azotanu potasu w gramach
y – masa 10-procentowego roztworu azotanu potasu w gramach
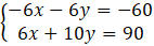
-6x – 6y + 6x + 10y = -60 + 90
4y = 30 /:4
y = 7,5
x + 7,5 = 10 /-7,5
x = 2,5
Odp. Aby otrzymać 10 g roztworu o stężeniu 9% należy zmieszać 2,5 g 6-procentowego roztworu cukru i 7,5 g 10-procentowego roztworu cukru.
Na początku musisz oznaczyć symbolami masy obu roztworów. Następnie musisz zapisać pierwsze równanie, w którym suma mas obu roztworów wynosi 10. Drugim równaniem będzie to, że suma ilości azotanu potasu w poszczególnych roztworach jest równa ilości tego związku w 10 g 9-procentowego roztworu.
Zadanie 1
84Zadanie 2
84Zadanie 4
84Zadanie 5
84Zadanie 8
85Zadanie 9
85Zadanie 10
85Zadanie 11
85Zadanie 12
85Zadanie 13
86Zadanie 14
86Zadanie 17
86Zadanie 1
87Zadanie 2
87Zadanie 3
87Zadanie 4
87Zadanie 5
87Zadanie 6
87Zadanie 7
88Zadanie 9
88Zadanie 14
89Zadanie 15
89Zadanie 16
89Zadanie 18
89Zadanie 19
89Zadanie 21
89Zadanie 1
90Zadanie 2
90Zadanie 3
90Zadanie 4
90Zadanie 5
90Zadanie 6
90Zadanie 7
90Zadanie 8
91Zadanie 9
91Zadanie 10
91Zadanie 11
91Zadanie 12
91Zadanie 13
91Zadanie 14
92Zadanie 16
92Zadanie 18
92Zadanie 21
92Zadanie 12
94Zadanie 5
97Zadanie 1
101Zadanie 6
101Zadanie 7
101Zadanie 10
102Zadanie 11
102Zadanie 12
102Zadanie 13
102