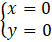
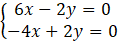
W tym zadaniu musisz znaleźć parę liczb x i y, dla których równania
6x – 2y – 4x + 2y = 0 + 0
2x = 0 /:2
x = 0
-4 ∙ 0 + 2y = 0
0 + 2y = 0
2y = 0 /:2
y = 0
Odp.
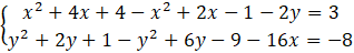
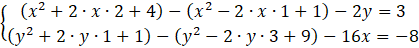
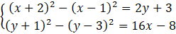
Na początku zadania musisz uprościć równania (musisz skorzystać ze wzorów na kwadrat sumy (a + b)2 = a2 + 2ab + b2 i kwadrat różnicy (a – b)2 = a2 – 2ab + b2)) i przestawić wszystkie niewiadome na lewą stronę, a liczby na prawą. W kolejnym kroku musisz podzielić drugie równanie tak, aby liczby stojące przy wybranej niewiadomej w obu równaniach były sobie przeciwne. Następnie musiszdodać oba równania do siebie stronami. Wybrane niewiadome zredukują się ze sobą. Musisz rozwiązać równanie z jedną niewiadomą. Po wyliczeniu wartości pozostałej niewiadomej musisz podstawić ją do dowolnego równania, a następnie rozwiązać to równanie, aby wyznaczyć wartość wybranej niewiadomej.
Zadanie 1
84Zadanie 2
84Zadanie 4
84Zadanie 5
84Zadanie 8
85Zadanie 9
85Zadanie 10
85Zadanie 11
85Zadanie 12
85Zadanie 13
86Zadanie 14
86Zadanie 17
86Zadanie 1
87Zadanie 2
87Zadanie 3
87Zadanie 4
87Zadanie 5
87Zadanie 6
87Zadanie 7
88Zadanie 9
88Zadanie 14
89Zadanie 15
89Zadanie 16
89Zadanie 18
89Zadanie 19
89Zadanie 21
89Zadanie 1
90Zadanie 2
90Zadanie 3
90Zadanie 4
90Zadanie 5
90Zadanie 6
90Zadanie 7
90Zadanie 8
91Zadanie 9
91Zadanie 10
91Zadanie 11
91Zadanie 12
91Zadanie 13
91Zadanie 14
92Zadanie 16
92Zadanie 18
92Zadanie 21
92Zadanie 12
94Zadanie 5
97Zadanie 1
101Zadanie 6
101Zadanie 7
101Zadanie 10
102Zadanie 11
102Zadanie 12
102Zadanie 13
102