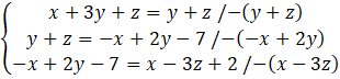
W tym zadaniu musisz przedstawić równania x + 3y + z = y + z = -x + 2y – 7 = x - 3z + 2 w postaci układu trzech równań. Następnie musisz wyliczyć wartości niewiadomych.
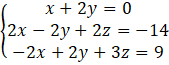
Dodajemy drugie i trzecie równanie do siebie
2x – 2y + 2z – 2x + 2y + 3z = -14 + 9
5z = -5 /:5
z = -1
Dodajemy pierwsze i drugie równanie do siebie
x + 2y – x + y = 0 + 6
3y = 6 /:3
y = 2
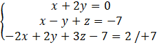
x + 2y = 0
x + 2 ∙ 2 = 0
x + 4 = 0 /-4
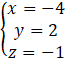
x = -4
Odp.
Na początku zadania musisz przenieść wszystkie niewiadome na lewą stronę, a liczby na prawą. Aby wyliczyć wartość niewiadomej z musisz przemnożyć drugie równanie przez 2 i dodać drugie i trzecie równanie stronami. Z powstałego równania musisz wyznaczyć wartość z. Aby wyznaczyć wartość niewiadomej y musisz podstawić wyliczoną wartość z do układu. Następnie, po przeniesieniu liczb na prawą stronę, musisz przemnożyć drugie równanie przez -1 i dodać stronami pierwsze i drugie równanie. Z powstałego równania musisz wyznaczyć wartość y. Aby wyznaczyć wartość niewiadomej x musisz podstawić wartości innych niewiadomych do dowolnego równania i wyznaczyć z niego wartość x.
Zadanie 1
84Zadanie 2
84Zadanie 4
84Zadanie 5
84Zadanie 8
85Zadanie 9
85Zadanie 10
85Zadanie 11
85Zadanie 12
85Zadanie 13
86Zadanie 14
86Zadanie 17
86Zadanie 1
87Zadanie 2
87Zadanie 3
87Zadanie 4
87Zadanie 5
87Zadanie 6
87Zadanie 7
88Zadanie 9
88Zadanie 14
89Zadanie 15
89Zadanie 16
89Zadanie 18
89Zadanie 19
89Zadanie 21
89Zadanie 1
90Zadanie 2
90Zadanie 3
90Zadanie 4
90Zadanie 5
90Zadanie 6
90Zadanie 7
90Zadanie 8
91Zadanie 9
91Zadanie 10
91Zadanie 11
91Zadanie 12
91Zadanie 13
91Zadanie 14
92Zadanie 16
92Zadanie 18
92Zadanie 21
92Zadanie 12
94Zadanie 5
97Zadanie 1
101Zadanie 6
101Zadanie 7
101Zadanie 10
102Zadanie 11
102Zadanie 12
102Zadanie 13
102