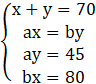
Siostry Ania i Jola sprzedają tulipany w różnych punktach miasta. Podzieliły między sobą 70 tulipanów, gdzie Ania otrzymała x tulipanów, a Jola y tulipanów. Każda ustaliła inną cenę za 1 tulipana. Po sprzedaży wszystkich kwiatów okazało się, że obie dziewczyny otrzymały taką samą kwotę. Dodatkowo, gdyby Ania sprzedała y tulipanów, otrzymałaby 45 zł, a gdyby Jola sprzedała x tulipanów, otrzymałaby 80 zł. Oblicz, ile tulipanów sprzedała Ania i Jola, oraz jaką cenę za sztukę ustaliły.
Odp. Ania sprzedała 40 tulipanów po 1,50 zł, a Jola sprzedała 30 tulipanów po 2 zł.
Wypisz niewiadome:
Zinterpretuj dane. Stwórz równania.
Pewnego dnia podzieliły między sobą 70 tulipanów w taki sposób, że Ania otrzymała x tulipanów, a Jola y tulipanów.
Po sprzedaży wszystkich kwiatów okazało się, że obie dziewczyny otrzymały taką samą kwotę.
Gdyby Ania sprzedała y tulipanów, to otrzymałaby 45 zł.
Gdyby Jola sprzedała x tulipanów, to otrzymałaby 80 zł.
Podaj konieczne założenia:
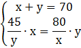
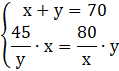
Stwórz układ równań.
Wyznacz deltę.
Teraz wyznacz wszystkie pozostałe wartości.
Zadanie 6.1.
175Zadanie 6.2.
175Zadanie 6.4.
175Zadanie 6.6.
176Zadanie 6.7.
176Zadanie 6.8.
176Zadanie 6.9.
176Zadanie 6.10.
177Zadanie 6.11.
177Zadanie 6.12.
177Zadanie 6.13.
177Zadanie 6.14.
177Zadanie 6.15.
178Zadanie 6.16.
178Zadanie 6.17.
178Zadanie 6.18.
178Zadanie 6.19.
178Zadanie 6.20.
178Zadanie 6.21.
178Zadanie 6.22.
178Zadanie 6.23.
179Zadanie 6.24.
179Zadanie 6.25.
179Zadanie 6.26.
179Zadanie 6.27.
179Zadanie 6.28.
180Zadanie 6.29.
180Zadanie 6.30.
180Zadanie 6.31.
180Zadanie 6.32.
180Zadanie 6.36.
181Zadanie 6.37.
181Zadanie 6.39.
182Zadanie 6.40.
183Zadanie 6.41.
183Zadanie 6.42.
183Zadanie 6.43.
183Zadanie 6.44.
183Zadanie 6.45.
184Zadanie 6.53.
185Zadanie 6.54.
185Zadanie 6.55.
185Zadanie 6.58.
185Zadanie 6.59.
185Zadanie 6.60.
186Zadanie 6.61.
185Zadanie 6.62.
186Zadanie 6.63.
186Zadanie 6.64.
186Zadanie 6.65.
186Zadanie 6.66.
186Zadanie 6.67.
187Zadanie 6.68.
187Zadanie 6.69.
187Zadanie 11.
189Zadanie 12.
189Zadanie 14.
189Zadanie 15.
189Zadanie 16.
189Zadanie 17.
189Zadanie 19.
190Zadanie 20.
190Zadanie 24.
190