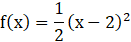
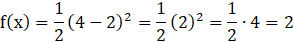
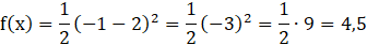
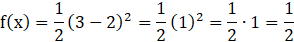
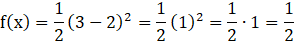
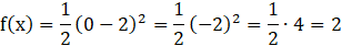
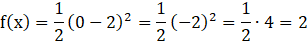
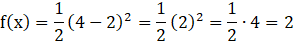
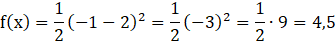
W tym zadaniu musisz uzupełnić współrzędne punktów należącą do funkcji
| x | -1 | 0 | 1 | 2 | 3 | 4 | 5 |
| F(x) |
| x | -1 | 0 | 1 | 2 | 3 | 4 | 5 |
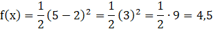
| F(x) | 4,5 | 2 | 0,5 | 0 | 0,5 | 2 | 4,5 |
Wypisz dane:
| x | -1 | 0 | 1 | 2 | 3 | 4 | 5 |
| F(x) | 4,5 | 2 | 0,5 | 0 | 0,5 | 2 | 4,5 |
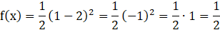
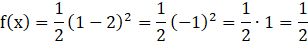
Aby wyliczyć
Współrzędna wierzchołka odczytujesz ze wzoru funkcji.
Zadanie 6.1.
175Zadanie 6.2.
175Zadanie 6.4.
175Zadanie 6.6.
176Zadanie 6.7.
176Zadanie 6.8.
176Zadanie 6.9.
176Zadanie 6.10.
177Zadanie 6.11.
177Zadanie 6.12.
177Zadanie 6.13.
177Zadanie 6.14.
177Zadanie 6.15.
178Zadanie 6.16.
178Zadanie 6.17.
178Zadanie 6.18.
178Zadanie 6.19.
178Zadanie 6.20.
178Zadanie 6.21.
178Zadanie 6.22.
178Zadanie 6.23.
179Zadanie 6.24.
179Zadanie 6.25.
179Zadanie 6.26.
179Zadanie 6.27.
179Zadanie 6.28.
180Zadanie 6.29.
180Zadanie 6.30.
180Zadanie 6.31.
180Zadanie 6.32.
180Zadanie 6.36.
181Zadanie 6.37.
181Zadanie 6.39.
182Zadanie 6.40.
183Zadanie 6.41.
183Zadanie 6.42.
183Zadanie 6.43.
183Zadanie 6.44.
183Zadanie 6.45.
184Zadanie 6.53.
185Zadanie 6.54.
185Zadanie 6.55.
185Zadanie 6.58.
185Zadanie 6.59.
185Zadanie 6.60.
186Zadanie 6.61.
185Zadanie 6.62.
186Zadanie 6.63.
186Zadanie 6.64.
186Zadanie 6.65.
186Zadanie 6.66.
186Zadanie 6.67.
187Zadanie 6.68.
187Zadanie 6.69.
187Zadanie 11.
189Zadanie 12.
189Zadanie 14.
189Zadanie 15.
189Zadanie 16.
189Zadanie 17.
189Zadanie 19.
190Zadanie 20.
190Zadanie 24.
190