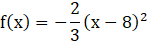
Na podstawie wzoru funkcji kwadratowej
Zbioru wartości funkcji f, czyli wszystkich możliwych wartości, jakie może przyjąć funkcja f.Współrzędnych wierzchołka W paraboli będącej wykresem funkcji f, czyli punktu, w którym parabola osiąga swoje skrajne wartości.Równania osi symetrii tej paraboli, czyli linii, która dzieli parabolę na dwie symetryczne części.Maksymalnych przedziałów monotoniczności funkcji f, czyli odcinków, na których funkcja jest malejąca lub rosnąca.
Wypisz dane:
Wzór ogólny na funkcję kanoniczną przyjmuje wartość:
W związku z tym wartość parametrów a, p i q wynosi:
Żeby wyznaczyć zbiór wartości funkcji ważne są dwa parametry: a i q.
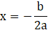
Teraz wyznacz wierzchołek.
Wyznacz wzór ogólny funkcji i potem oś symetrii.
Do wyznaczenia maksymalnych przedziałów monotoniczności potrzebne są parametry a i p.
Zadanie 6.1.
175Zadanie 6.2.
175Zadanie 6.4.
175Zadanie 6.6.
176Zadanie 6.7.
176Zadanie 6.8.
176Zadanie 6.9.
176Zadanie 6.10.
177Zadanie 6.11.
177Zadanie 6.12.
177Zadanie 6.13.
177Zadanie 6.14.
177Zadanie 6.15.
178Zadanie 6.16.
178Zadanie 6.17.
178Zadanie 6.18.
178Zadanie 6.19.
178Zadanie 6.20.
178Zadanie 6.21.
178Zadanie 6.22.
178Zadanie 6.23.
179Zadanie 6.24.
179Zadanie 6.25.
179Zadanie 6.26.
179Zadanie 6.27.
179Zadanie 6.28.
180Zadanie 6.29.
180Zadanie 6.30.
180Zadanie 6.31.
180Zadanie 6.32.
180Zadanie 6.36.
181Zadanie 6.37.
181Zadanie 6.39.
182Zadanie 6.40.
183Zadanie 6.41.
183Zadanie 6.42.
183Zadanie 6.43.
183Zadanie 6.44.
183Zadanie 6.45.
184Zadanie 6.53.
185Zadanie 6.54.
185Zadanie 6.55.
185Zadanie 6.58.
185Zadanie 6.59.
185Zadanie 6.60.
186Zadanie 6.61.
185Zadanie 6.62.
186Zadanie 6.63.
186Zadanie 6.64.
186Zadanie 6.65.
186Zadanie 6.66.
186Zadanie 6.67.
187Zadanie 6.68.
187Zadanie 6.69.
187Zadanie 11.
189Zadanie 12.
189Zadanie 14.
189Zadanie 15.
189Zadanie 16.
189Zadanie 17.
189Zadanie 19.
190Zadanie 20.
190Zadanie 24.
190