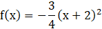
W tym zadaniu musisz doprowadzić wzór do postaci kanonicznej oraz wyznaczyć miejsce zerowe funkcji
Wypisz dane.
Wzór na postać ogólną funkcji.
Sprowadź wzór do kanonicznej. W tym celu skorzystaj ze wzoru skróconego mnożenia.
Wyznacz miejsce zerowe, przyrównaj funkcję do 0.
Zadanie 6.1.
175Zadanie 6.2.
175Zadanie 6.4.
175Zadanie 6.6.
176Zadanie 6.7.
176Zadanie 6.8.
176Zadanie 6.9.
176Zadanie 6.10.
177Zadanie 6.11.
177Zadanie 6.12.
177Zadanie 6.13.
177Zadanie 6.14.
177Zadanie 6.15.
178Zadanie 6.16.
178Zadanie 6.17.
178Zadanie 6.18.
178Zadanie 6.19.
178Zadanie 6.20.
178Zadanie 6.21.
178Zadanie 6.22.
178Zadanie 6.23.
179Zadanie 6.24.
179Zadanie 6.25.
179Zadanie 6.26.
179Zadanie 6.27.
179Zadanie 6.28.
180Zadanie 6.29.
180Zadanie 6.30.
180Zadanie 6.31.
180Zadanie 6.32.
180Zadanie 6.36.
181Zadanie 6.37.
181Zadanie 6.39.
182Zadanie 6.40.
183Zadanie 6.41.
183Zadanie 6.42.
183Zadanie 6.43.
183Zadanie 6.44.
183Zadanie 6.45.
184Zadanie 6.53.
185Zadanie 6.54.
185Zadanie 6.55.
185Zadanie 6.58.
185Zadanie 6.59.
185Zadanie 6.60.
186Zadanie 6.61.
185Zadanie 6.62.
186Zadanie 6.63.
186Zadanie 6.64.
186Zadanie 6.65.
186Zadanie 6.66.
186Zadanie 6.67.
187Zadanie 6.68.
187Zadanie 6.69.
187Zadanie 11.
189Zadanie 12.
189Zadanie 14.
189Zadanie 15.
189Zadanie 16.
189Zadanie 17.
189Zadanie 19.
190Zadanie 20.
190Zadanie 24.
190