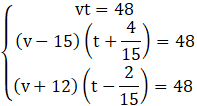
Odległość między miastami A i B wynosi 48 km. Autobus PKS pokonuje trasę z miasta B do A w czasie t. Gdyby autobus PKS jechał z prędkością o 15 km/h mniejszą niż zwykle, to przyjechałby do miasta A o 16 minut później. Gdyby jechał z prędkością o 12 km/h większą, to przyjechałby do miasta B o 8 minut wcześniej. Oblicz czas t, w jakim autobus PKS pokonuje trasę z miasta B do A.
Utwórz równania.
Wypisz dane:
Wzór na prędkość:
Zinterpretuj dane.
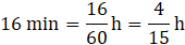
Jako że wzory na prędkość są wyrażone w km/h to najpierw musisz ujednolicić jednostki – zamień min na h.
Odległość między miastami A i B jest równa 48 km.
Gdyby jechał z prędkością o 15 km/h mniejszą niż zwykle, to przyjechałby do miasta A o 16 minut później.
Gdyby jechał z prędkością o 12 km/h większą, to przyjechałby do miasta B o 8 minut wcześniej.
Utwórz równania.
Rozwiąż układ. Przyrównaj pierwsze równanie do drugiego i trzeciego.
Dodaj równania stronami.
Zadanie 6.1.
175Zadanie 6.2.
175Zadanie 6.4.
175Zadanie 6.6.
176Zadanie 6.7.
176Zadanie 6.8.
176Zadanie 6.9.
176Zadanie 6.10.
177Zadanie 6.11.
177Zadanie 6.12.
177Zadanie 6.13.
177Zadanie 6.14.
177Zadanie 6.15.
178Zadanie 6.16.
178Zadanie 6.17.
178Zadanie 6.18.
178Zadanie 6.19.
178Zadanie 6.20.
178Zadanie 6.21.
178Zadanie 6.22.
178Zadanie 6.23.
179Zadanie 6.24.
179Zadanie 6.25.
179Zadanie 6.26.
179Zadanie 6.27.
179Zadanie 6.28.
180Zadanie 6.29.
180Zadanie 6.30.
180Zadanie 6.31.
180Zadanie 6.32.
180Zadanie 6.36.
181Zadanie 6.37.
181Zadanie 6.39.
182Zadanie 6.40.
183Zadanie 6.41.
183Zadanie 6.42.
183Zadanie 6.43.
183Zadanie 6.44.
183Zadanie 6.45.
184Zadanie 6.53.
185Zadanie 6.54.
185Zadanie 6.55.
185Zadanie 6.58.
185Zadanie 6.59.
185Zadanie 6.60.
186Zadanie 6.61.
185Zadanie 6.62.
186Zadanie 6.63.
186Zadanie 6.64.
186Zadanie 6.65.
186Zadanie 6.66.
186Zadanie 6.67.
187Zadanie 6.68.
187Zadanie 6.69.
187Zadanie 11.
189Zadanie 12.
189Zadanie 14.
189Zadanie 15.
189Zadanie 16.
189Zadanie 17.
189Zadanie 19.
190Zadanie 20.
190Zadanie 24.
190