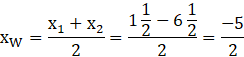
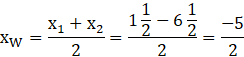
Na podstawie danych miejsc zerowych
Wypisz dane.
ZW wartości pokazuje, jaki jest y wierzchołka paraboli.
Argument wierzchołka to średnia arytmetyczna miejsc zerowych.
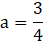
Podstaw dane do wzoru funkcji i wyznacz a.
Podstaw punkt
Zapisz wzór funkcji.
Zadanie 6.1.
175Zadanie 6.2.
175Zadanie 6.4.
175Zadanie 6.6.
176Zadanie 6.7.
176Zadanie 6.8.
176Zadanie 6.9.
176Zadanie 6.10.
177Zadanie 6.11.
177Zadanie 6.12.
177Zadanie 6.13.
177Zadanie 6.14.
177Zadanie 6.15.
178Zadanie 6.16.
178Zadanie 6.17.
178Zadanie 6.18.
178Zadanie 6.19.
178Zadanie 6.20.
178Zadanie 6.21.
178Zadanie 6.22.
178Zadanie 6.23.
179Zadanie 6.24.
179Zadanie 6.25.
179Zadanie 6.26.
179Zadanie 6.27.
179Zadanie 6.28.
180Zadanie 6.29.
180Zadanie 6.30.
180Zadanie 6.31.
180Zadanie 6.32.
180Zadanie 6.36.
181Zadanie 6.37.
181Zadanie 6.39.
182Zadanie 6.40.
183Zadanie 6.41.
183Zadanie 6.42.
183Zadanie 6.43.
183Zadanie 6.44.
183Zadanie 6.45.
184Zadanie 6.53.
185Zadanie 6.54.
185Zadanie 6.55.
185Zadanie 6.58.
185Zadanie 6.59.
185Zadanie 6.60.
186Zadanie 6.61.
185Zadanie 6.62.
186Zadanie 6.63.
186Zadanie 6.64.
186Zadanie 6.65.
186Zadanie 6.66.
186Zadanie 6.67.
187Zadanie 6.68.
187Zadanie 6.69.
187Zadanie 11.
189Zadanie 12.
189Zadanie 14.
189Zadanie 15.
189Zadanie 16.
189Zadanie 17.
189Zadanie 19.
190Zadanie 20.
190Zadanie 24.
190