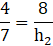
Mamy dwa trójkąty równoramienne, w których kąty między ramionami są takie same. W pierwszym trójkącie podstawa wynosi 4 dm, a wysokość 7 dm. W drugim trójkącie podstawa jest długości 8 dm. Podaj pole drugiego trójkąta.
Trójkąty są podobne (kąty przy wierzchołku są takie same, więc kąty przy podstawach są także takie same), więc skorzystajmy z podobieństwa trójkątów.
Obliczmy wysokość drugiego trójkąta:
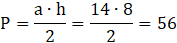
Obliczamy pole:
Poprawną odpowiedzią jest odpowiedź A.
Zadanie 1.1.
214Zadanie 1.4.
215Zadanie 1.8.
215Zadanie 1.13.
215Zadanie 1.18.
216Zadanie 1.19.
216Zadanie 1.24.
216Zadanie 1.27.
216Zadanie 2.4.
227Zadanie 2.5.
227Zadanie 2.9.
228Zadanie 2.14.
229Zadanie 3.6.
244Zadanie 3.15.
244Zadanie 3.17.
245Zadanie 3.18.
245Zadanie 4.6.
252Zadanie 4.7.
252Zadanie 4.8.
253Zadanie 4.9.
253Zadanie 4.10.
253Zadanie 4.11.
253Zadanie 4.12.
253Zadanie 4.15.
253Zadanie 2.
254Zadanie 4.
254Zadanie 5.5.
260Zadanie 5.7.
260Zadanie 5.8.
261Zadanie 2.
262Zadanie 6.4.
269Zadanie 6.5.
270Zadanie 6.6.
270Zadanie 6.8.
270Zadanie 3
272Zadanie 7.5.
278Zadanie 7.7.
279Zadanie 7.9.
279Zadanie 7.10.
279Zadanie 7.12.
279Zadanie 8.5.
296Zadanie 8.6.
296Zadanie 8.7.
296Zadanie 8.13.
297