Oblicz promień okręgu wpisanego w trapez równoramienny, jeżeli jeden z punktów styczności dzieli jego ramię na odcinki długości 4 cm i 6 cm.
Tw. o odcinkach stycznych:
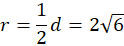
Tw. Pitagorasa dla trójkąta CBI:
Skorzystaj z twierdzenia o odcinkach stycznych i wypisz pary równych odcinków. Oblicz długość odcinka IB, korzystając z tego, że trapez jest równoramienny. Rozpisz twierdzenie Pitagorasa w trójkącie CBI, aby obliczyć długość średnicy, czyli długość dwóch promieni.
Zadanie 1.1.
214Zadanie 1.4.
215Zadanie 1.8.
215Zadanie 1.13.
215Zadanie 1.18.
216Zadanie 1.19.
216Zadanie 1.24.
216Zadanie 1.27.
216Zadanie 2.4.
227Zadanie 2.5.
227Zadanie 2.9.
228Zadanie 2.14.
229Zadanie 3.6.
244Zadanie 3.15.
244Zadanie 3.17.
245Zadanie 3.18.
245Zadanie 4.6.
252Zadanie 4.7.
252Zadanie 4.8.
253Zadanie 4.9.
253Zadanie 4.10.
253Zadanie 4.11.
253Zadanie 4.12.
253Zadanie 4.15.
253Zadanie 2.
254Zadanie 4.
254Zadanie 5.5.
260Zadanie 5.7.
260Zadanie 5.8.
261Zadanie 2.
262Zadanie 6.4.
269Zadanie 6.5.
270Zadanie 6.6.
270Zadanie 6.8.
270Zadanie 3
272Zadanie 7.5.
278Zadanie 7.7.
279Zadanie 7.9.
279Zadanie 7.10.
279Zadanie 7.12.
279Zadanie 8.5.
296Zadanie 8.6.
296Zadanie 8.7.
296Zadanie 8.13.
297