Dany jest trójkąt ABC, którego miary przyprostokątnych są równe: |AC|= 8 i |BC| = 6. Trójkąt ABC jest podobny do trójkąta, którego jeden z boków jest równy 6. Wyznacz pozostałe boki tego trójkąta.
Obliczmy najpierw przeciwprostokątną w trójkącie ABC korzystając z twierdzenia Pitagorasa:
Następnie rozważmy drugi trójkąt. Zostało nam powiedziane, że jeden z boków tego trójkąta ma długość 6. Nie wiemy natomiast, czy jest to przeciwprostokątna, czy krótsza przyprostokątna, czy dłuższa przyprostokątna. Dlatego musimy sprawdzić i rozważyć trzy przypadki:
Przypadek I. Bok 6 jest krótszą przyprostokątną.
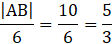
Zapiszmy proporcję wynikającą z podobieństwa trójkątów:
Stąd widać, że trójkąty będą przystające, więc długości tego drugiego trójkąta mogą być równe: 6,8,10.
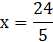
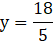
Przypadek II. Bok 6 jest dłuższą przyprostokątną.
Zapiszmy proporcję wynikającą z podobieństwa trójkątów:
Dla przypadku drugiego, długości boków tego trójkąta mogą być równe:
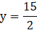
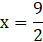
Przypadek III. Bok 6 jest przeciwprostokątną.
Zapiszmy proporcję wynikającą z podobieństwa trójkątów:
Dla przypadku trzeciego, długości boków tego trójkąta mogą być równe:
Zadanie 1.1.
214Zadanie 1.4.
215Zadanie 1.8.
215Zadanie 1.13.
215Zadanie 1.18.
216Zadanie 1.19.
216Zadanie 1.24.
216Zadanie 1.27.
216Zadanie 2.4.
227Zadanie 2.5.
227Zadanie 2.9.
228Zadanie 2.14.
229Zadanie 3.6.
244Zadanie 3.15.
244Zadanie 3.17.
245Zadanie 3.18.
245Zadanie 4.6.
252Zadanie 4.7.
252Zadanie 4.8.
253Zadanie 4.9.
253Zadanie 4.10.
253Zadanie 4.11.
253Zadanie 4.12.
253Zadanie 4.15.
253Zadanie 2.
254Zadanie 4.
254Zadanie 5.5.
260Zadanie 5.7.
260Zadanie 5.8.
261Zadanie 2.
262Zadanie 6.4.
269Zadanie 6.5.
270Zadanie 6.6.
270Zadanie 6.8.
270Zadanie 3
272Zadanie 7.5.
278Zadanie 7.7.
279Zadanie 7.9.
279Zadanie 7.10.
279Zadanie 7.12.
279Zadanie 8.5.
296Zadanie 8.6.
296Zadanie 8.7.
296Zadanie 8.13.
297