Dany jest trapez ABCD. Zaznaczono środki jego boków BC i AD i nazwano te punkty odpowiednio K i L. Wykaż, że powstałe czworokąty ABKL i KCDL są trapezami równoramiennymi, które nie są podobne do wyjściowego trapezu ABCD.
Zacznijmy od narysowania rysunku:
Zakładamy, że
Korzystając z twierdzenia o odcinku łączącym środki ramion trapezu, możemy zapisać, że:
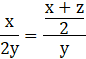
Sprawdźmy, czy trapezy ABCD i ABKL są podobne:
Stąd wynika, że trapezy ABCD i ABKL nie są podobne.
Sprawdźmy, czy trapezy ABCD i KCDL są podobne:
Nie są one podobne.
Zadanie 1.1.
214Zadanie 1.4.
215Zadanie 1.8.
215Zadanie 1.13.
215Zadanie 1.18.
216Zadanie 1.19.
216Zadanie 1.24.
216Zadanie 1.27.
216Zadanie 2.4.
227Zadanie 2.5.
227Zadanie 2.9.
228Zadanie 2.14.
229Zadanie 3.6.
244Zadanie 3.15.
244Zadanie 3.17.
245Zadanie 3.18.
245Zadanie 4.6.
252Zadanie 4.7.
252Zadanie 4.8.
253Zadanie 4.9.
253Zadanie 4.10.
253Zadanie 4.11.
253Zadanie 4.12.
253Zadanie 4.15.
253Zadanie 2.
254Zadanie 4.
254Zadanie 5.5.
260Zadanie 5.7.
260Zadanie 5.8.
261Zadanie 2.
262Zadanie 6.4.
269Zadanie 6.5.
270Zadanie 6.6.
270Zadanie 6.8.
270Zadanie 3
272Zadanie 7.5.
278Zadanie 7.7.
279Zadanie 7.9.
279Zadanie 7.10.
279Zadanie 7.12.
279Zadanie 8.5.
296Zadanie 8.6.
296Zadanie 8.7.
296Zadanie 8.13.
297