Dany jest prostokąt ABCD. Jak widać na rysunku obok, poprowadzono przez niego odcinek KL który podzielił ten prostokąt na dwie figury: kwadrat AKDL i prostokąt KBCL. Prostokąt KBCL jest również podobny do pierwotnego prostokąta ABCD. Wyznacz skalę podobieństwa tych prostokątów.
Zacznijmy od narysowania rysunku:
Prostokąty ABCD i KBCL są podobne, a więc wykonajmy proporcję:
Podpiszmy literami x i y równe boki:
Wtedy:
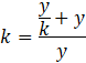
Równania te mają trzy niewiadome. Spróbujmy pozbyć się x.
Podstawmy do drugiej równości:
Zadanie 1.1.
214Zadanie 1.4.
215Zadanie 1.8.
215Zadanie 1.13.
215Zadanie 1.18.
216Zadanie 1.19.
216Zadanie 1.24.
216Zadanie 1.27.
216Zadanie 2.4.
227Zadanie 2.5.
227Zadanie 2.9.
228Zadanie 2.14.
229Zadanie 3.6.
244Zadanie 3.15.
244Zadanie 3.17.
245Zadanie 3.18.
245Zadanie 4.6.
252Zadanie 4.7.
252Zadanie 4.8.
253Zadanie 4.9.
253Zadanie 4.10.
253Zadanie 4.11.
253Zadanie 4.12.
253Zadanie 4.15.
253Zadanie 2.
254Zadanie 4.
254Zadanie 5.5.
260Zadanie 5.7.
260Zadanie 5.8.
261Zadanie 2.
262Zadanie 6.4.
269Zadanie 6.5.
270Zadanie 6.6.
270Zadanie 6.8.
270Zadanie 3
272Zadanie 7.5.
278Zadanie 7.7.
279Zadanie 7.9.
279Zadanie 7.10.
279Zadanie 7.12.
279Zadanie 8.5.
296Zadanie 8.6.
296Zadanie 8.7.
296Zadanie 8.13.
297