Dany jest odcinek o długości 1 który został podzielony na dwie części. Stosunek krótszej części odcinka do dłuższej jest taki sam, jak stosunek dłuższej części do całego odcinka. Oblicz długość krótszego i dłuższego odcinka.
Wprowadźmy oznaczenia:
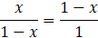
x – długość krótszego odcinka
Ponieważ długość dłuższego odcinka nie może przekraczać 1 – x, więc zakładamy dla x dziedzinę:
Obliczmy długość krótszego odcinka:
Liczymy teraz deltę:
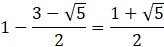
Z otrzymanych wyników odrzucamy x1, jako że nie należy do dziedziny. Liczymy teraz długość dłuższego z odcinków:
Dłuższy odcinek ma miarę
Zadanie 1.1.
214Zadanie 1.4.
215Zadanie 1.8.
215Zadanie 1.13.
215Zadanie 1.18.
216Zadanie 1.19.
216Zadanie 1.24.
216Zadanie 1.27.
216Zadanie 2.4.
227Zadanie 2.5.
227Zadanie 2.9.
228Zadanie 2.14.
229Zadanie 3.6.
244Zadanie 3.15.
244Zadanie 3.17.
245Zadanie 3.18.
245Zadanie 4.6.
252Zadanie 4.7.
252Zadanie 4.8.
253Zadanie 4.9.
253Zadanie 4.10.
253Zadanie 4.11.
253Zadanie 4.12.
253Zadanie 4.15.
253Zadanie 2.
254Zadanie 4.
254Zadanie 5.5.
260Zadanie 5.7.
260Zadanie 5.8.
261Zadanie 2.
262Zadanie 6.4.
269Zadanie 6.5.
270Zadanie 6.6.
270Zadanie 6.8.
270Zadanie 3
272Zadanie 7.5.
278Zadanie 7.7.
279Zadanie 7.9.
279Zadanie 7.10.
279Zadanie 7.12.
279Zadanie 8.5.
296Zadanie 8.6.
296Zadanie 8.7.
296Zadanie 8.13.
297