W tym zadaniu musisz wykazać, że trójkąty zaznaczone na rysunku obok są podobne do trójkąta
Przekątna prostokąta:
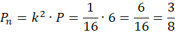
Czerwony trójkąt:
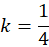
Skala podobieństwa:
Niebieski trójkąt:
Skala podobieństwa:
Zielony trójkąt:
Krótsza przyprostokątna niebieskiego trójkąta:
Krótsza przyprostokątna zielonego trójkąta:
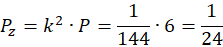
Skala podobieństwa:
Różowy trójkąt:
Dłuższa przyprostokątna zielonego trójkąta:
Dłuższa przyprostokątna różowego trójkąta:
Skala podobieństwa:
Kolejność:
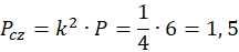
Oblicz pole połowy prostokąta. Każdy trójkąt jest do niej podobny na podstawie zasady kąt-kąt. Dla każdego z trójkątów oblicz skalę podobieństwa jako iloraz dwóch odpowiadających sobie boków. Pole trójkąta podobnego to iloczyn kwadratu skali podobieństwa oraz pola trójkąta oryginalnego, czyli połowy prostokąta.
Zadanie 1.
72Zadanie 2.
72Zadanie 3.
73Zadanie 4.
73Zadanie 5.
73Zadanie 9.
74Zadanie 10.
74Zadanie 11.
75Zadanie 12.
75Ćwiczenie B.
77Zadanie 1.
78Zadanie 2.
78Zadanie 3.
78Zadanie 4.
79Zadanie 5.
79Zadanie 6.
79Zadanie 7.
79Zadanie 9.
80Zadanie 15.
80Zadanie 16.
81Ćwiczenie A.
82Ćwiczenie B.
83Zadanie 1.
84Zadanie 2.
85Zadanie 3.
85Zadanie 4.
85Zadanie 5.
85Zadanie 6.
86Zadanie 9.
86Zadanie 11.
86Zadanie 12.
86Zadanie 15.
87Zadanie 1.
88Zadanie 4.
89Zadanie 8.
90Zadanie B.
92Zadanie 1.
93Zadanie 4.
93Zadanie 6.
94Zadanie 7.
94Zadanie 8.
94Zadanie 11.
95Zadanie 2.
96Zadanie 6.
96Zadanie 9.
12