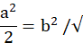
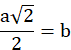
W tym zadaniu musisz wyznaczyć stosunku długości boków arkusza papieru.
Oznaczmy a, b jako długości boków prostokątnego arkusza, gdzie a jest krótszym bokiem wzdłuż, którego będzie zginany arkusz.
Stosunek boków arkusza papieru to
Zadanie 1.
72Zadanie 2.
72Zadanie 3.
73Zadanie 4.
73Zadanie 5.
73Zadanie 9.
74Zadanie 10.
74Zadanie 11.
75Zadanie 12.
75Ćwiczenie B.
77Zadanie 1.
78Zadanie 2.
78Zadanie 3.
78Zadanie 4.
79Zadanie 5.
79Zadanie 6.
79Zadanie 7.
79Zadanie 9.
80Zadanie 15.
80Zadanie 16.
81Ćwiczenie A.
82Ćwiczenie B.
83Zadanie 1.
84Zadanie 2.
85Zadanie 3.
85Zadanie 4.
85Zadanie 5.
85Zadanie 6.
86Zadanie 9.
86Zadanie 11.
86Zadanie 12.
86Zadanie 15.
87Zadanie 1.
88Zadanie 4.
89Zadanie 8.
90Zadanie B.
92Zadanie 1.
93Zadanie 4.
93Zadanie 6.
94Zadanie 7.
94Zadanie 8.
94Zadanie 11.
95Zadanie 2.
96Zadanie 6.
96Zadanie 9.
12