W tym zadaniu musisz uzasadnić, że trójkąt
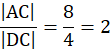
Dla obu trójkątów kąt BCA jest wspólny. Boki przy tym kącie są najdłuższymi bokami w tym trójkącie. Dodatkowo odpowiadającymi sobie odcinkami w trójkątach są: BC i AC oraz DC i AC. Skala podobieństwa:
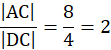
Dla obu trójkątów kąt BCA jest wspólny. Boki przy tym kącie są najdłuższymi bokami w tym trójkącie. Dodatkowo odpowiadającymi sobie odcinkami w trójkątach są: BC i AC oraz DC i AC. Skala podobieństwa na podstawie cechy bok-kąt-bok możesz obliczyć jako stosunki boków:
Zadanie 1.
72Zadanie 2.
72Zadanie 3.
73Zadanie 4.
73Zadanie 5.
73Zadanie 9.
74Zadanie 10.
74Zadanie 11.
75Zadanie 12.
75Ćwiczenie B.
77Zadanie 1.
78Zadanie 2.
78Zadanie 3.
78Zadanie 4.
79Zadanie 5.
79Zadanie 6.
79Zadanie 7.
79Zadanie 9.
80Zadanie 15.
80Zadanie 16.
81Ćwiczenie A.
82Ćwiczenie B.
83Zadanie 1.
84Zadanie 2.
85Zadanie 3.
85Zadanie 4.
85Zadanie 5.
85Zadanie 6.
86Zadanie 9.
86Zadanie 11.
86Zadanie 12.
86Zadanie 15.
87Zadanie 1.
88Zadanie 4.
89Zadanie 8.
90Zadanie B.
92Zadanie 1.
93Zadanie 4.
93Zadanie 6.
94Zadanie 7.
94Zadanie 8.
94Zadanie 11.
95Zadanie 2.
96Zadanie 6.
96Zadanie 9.
12