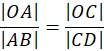
W tym zadaniu musisz wyznaczyć długość odcinka OA.
Prawidłowa odpowiedź to B.
Na podstawie twierdzenia Talesa ułóż stosunek odcinków
Zadanie 1.
72Zadanie 2.
72Zadanie 3.
73Zadanie 4.
73Zadanie 5.
73Zadanie 9.
74Zadanie 10.
74Zadanie 11.
75Zadanie 12.
75Ćwiczenie B.
77Zadanie 1.
78Zadanie 2.
78Zadanie 3.
78Zadanie 4.
79Zadanie 5.
79Zadanie 6.
79Zadanie 7.
79Zadanie 9.
80Zadanie 15.
80Zadanie 16.
81Ćwiczenie A.
82Ćwiczenie B.
83Zadanie 1.
84Zadanie 2.
85Zadanie 3.
85Zadanie 4.
85Zadanie 5.
85Zadanie 6.
86Zadanie 9.
86Zadanie 11.
86Zadanie 12.
86Zadanie 15.
87Zadanie 1.
88Zadanie 4.
89Zadanie 8.
90Zadanie B.
92Zadanie 1.
93Zadanie 4.
93Zadanie 6.
94Zadanie 7.
94Zadanie 8.
94Zadanie 11.
95Zadanie 2.
96Zadanie 6.
96Zadanie 9.
12