W tym zadaniu musisz udowodnić podaną zależność.
Pole trójkąta równoramiennego ABC jest równe polu trójkąta równobocznego o boku BC.
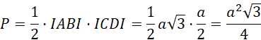
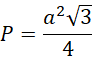
Pole trójkąta równobocznego o boku BC wynosi:
Trójkąt ABC to trójkąt równoramienny, zatem:
IAC = IBCI = a
Trójkąt ADC to trójkąt prostokątny z kątami 30°, 60° i 90°, w którym boki są równe:
- przeciwprostokątna: |AC| = a
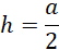
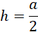
- krótsza przyprostokątna: |CD| = h
- dłuższa przyprostokątna: |AD| = b
Jeśli trójkącie prostokątnym z kątami 30°, 60° i 90° to:
- przeciwprostokątną, to krótszą przyprostokątną obliczamy, dzieląc przeciwprostokątną przez 2,
- krótszą przyprostokątną, to dłuższą przyprostokątną obliczamy, mnożąc krótszą przyprostokątną przez √3.
Dlatego:
AB ma długość:
CD ma długość:
Pole trójkąta ABC wynosi:
Zadanie 7
239Zadanie 18
240Zadanie 19
240Zadanie 20
240Zadanie 15
248Zadanie 16
249Zadanie 13
253Zadanie 15
253Zadanie 10
256Zadanie 15
256Zadanie 16
256Zadanie 8
258Zadanie 9
258Zadanie 15
259Zadanie 2
262Zadanie 8
262Zadanie 12
263Zadanie 18
269Zadanie 17
273Zadanie 18
274Zadanie 19
274Zadanie 13
279