W tym zadaniu musisz obliczyć objętość, pole powierzchni całkowitej oraz sumę długości krawędzi przedstawionej figury.
Objętość wynosi 600cm3, pole powierzchni całkowitej 480 cm2,a suma długości krawędzi przedstawionej obok figury wynosi 102 cm.
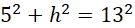
Podstawą graniastosłupa jest trójkąt, którego pole wynosi:
Pole powierzchni całkowitej wynosi:
Suma długości krawędzi wynosi:
Zadanie 7
239Zadanie 18
240Zadanie 19
240Zadanie 20
240Zadanie 15
248Zadanie 16
249Zadanie 13
253Zadanie 15
253Zadanie 10
256Zadanie 15
256Zadanie 16
256Zadanie 8
258Zadanie 9
258Zadanie 15
259Zadanie 2
262Zadanie 8
262Zadanie 12
263Zadanie 18
269Zadanie 17
273Zadanie 18
274Zadanie 19
274Zadanie 13
279