W tym zadaniu musisz ocenić prawdziwość podanych stwierdzeń.
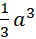
I. Objętość ostrosłupa jest trzy razy mniejsza od objętości sześcianu. P, ponieważ objętość sześcianu = a3, natomiast objętość ostrosłupa
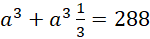
II. Wysokość ostrosłupa jest równa 6 cm. P
I. Objętość ostrosłupa jest trzy razy mniejsza od objętości sześcianu. P, ponieważ
II. Wysokość ostrosłupa jest równa 6 cm. P, ponieważ
Zadanie 7
239Zadanie 18
240Zadanie 19
240Zadanie 20
240Zadanie 15
248Zadanie 16
249Zadanie 13
253Zadanie 15
253Zadanie 10
256Zadanie 15
256Zadanie 16
256Zadanie 8
258Zadanie 9
258Zadanie 15
259Zadanie 2
262Zadanie 8
262Zadanie 12
263Zadanie 18
269Zadanie 17
273Zadanie 18
274Zadanie 19
274Zadanie 13
279