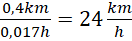
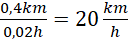
W tym zadaniu musisz obliczyć różnicę w prędkości między Maćkiem i Tomkiem na odcinku 400 m.
C. 4
Prędkość Maćka:
Prędkość Tomka:
Różnica: 24
Zadanie 7
239Zadanie 18
240Zadanie 19
240Zadanie 20
240Zadanie 15
248Zadanie 16
249Zadanie 13
253Zadanie 15
253Zadanie 10
256Zadanie 15
256Zadanie 16
256Zadanie 8
258Zadanie 9
258Zadanie 15
259Zadanie 2
262Zadanie 8
262Zadanie 12
263Zadanie 18
269Zadanie 17
273Zadanie 18
274Zadanie 19
274Zadanie 13
279