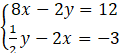
W tym zadaniu musisz określić naturę podanego układu równań
A. nie ma rozwiązań,
B. ma dokładnie jedno rozwiązanie,
C. ma co najwyżej jedno rozwiązanie,
D. ma co najmniej jedno rozwiązanie.
D. ma co najmniej jedno rozwiązanie.
Przemnażając drugie równanie przez
Ćwiczenie 8.
263Zadanie 1.
265Zadanie 2.
265Zadanie 3.
265Zadanie 4.
265Zadanie 5.
265Zadanie 11.
266Zadanie 12.
266Zadanie 14.
266Zadanie 15.
266Zadanie 1.
277Zadanie 2.
277Zadanie 3.
278Zadanie 4.
278Zadanie 5.
278Zadanie 6.
278Zadanie 7.
278Zadanie 6.
284Zadanie 8.
284Zadanie 1.
291Zadanie 2.
291Zadanie 3.
291Zadanie 1.
302Zadanie 2.
302Zadanie 6.
302Zadanie 1.
308Zadanie 2.
308