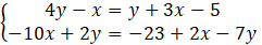
W tym zadaniu musisz rozwiązać układ równań
Przekształcamy:
Wyznacznik układu wynosi:
Dodatkowo:
Układ jest zatem sprzeczny.
Metoda wyznaczników to jedna z metod rozwiązywania układu równań za pomocą algebry macierzy. Technikę używaną w tym zadaniu nazywa się wzorami Cramera.
Ćwiczenie 8.
263Zadanie 1.
265Zadanie 2.
265Zadanie 3.
265Zadanie 4.
265Zadanie 5.
265Zadanie 11.
266Zadanie 12.
266Zadanie 14.
266Zadanie 15.
266Zadanie 1.
277Zadanie 2.
277Zadanie 3.
278Zadanie 4.
278Zadanie 5.
278Zadanie 6.
278Zadanie 7.
278Zadanie 6.
284Zadanie 8.
284Zadanie 1.
291Zadanie 2.
291Zadanie 3.
291Zadanie 1.
302Zadanie 2.
302Zadanie 6.
302Zadanie 1.
308Zadanie 2.
308