Znajdź dwucyfrową liczbę, której suma cyfr równa się 9, zaś po przestawieniu, otrzymamy liczbę dwucyfrową, mniejszą od połowy poprzedniej liczby.
Z pierwszego równania jedynymi kandydatami są:
Zauważamy, iż równość drugą spełniają tylko
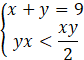
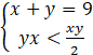
Oznacz liczbę szukaną przez xy, gdzie x to cyfra dziesiątek, zaś y to cyfra jedności. Otrzymasz wtedy równanie i nierówność
Ćwiczenie 8.
263Zadanie 1.
265Zadanie 2.
265Zadanie 3.
265Zadanie 4.
265Zadanie 5.
265Zadanie 11.
266Zadanie 12.
266Zadanie 14.
266Zadanie 15.
266Zadanie 1.
277Zadanie 2.
277Zadanie 3.
278Zadanie 4.
278Zadanie 5.
278Zadanie 6.
278Zadanie 7.
278Zadanie 6.
284Zadanie 8.
284Zadanie 1.
291Zadanie 2.
291Zadanie 3.
291Zadanie 1.
302Zadanie 2.
302Zadanie 6.
302Zadanie 1.
308Zadanie 2.
308