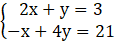
W tym zadaniu musisz rozwiązać układ równań
Funkcje przecinają się w punkcie
Narysuj osobno wykresy obu równań, które są równaniami liniowymi. Odczytując współrzędne punktu przecięcia otrzymasz parę, która jest rozwiązaniem.
Ćwiczenie 8.
263Zadanie 1.
265Zadanie 2.
265Zadanie 3.
265Zadanie 4.
265Zadanie 5.
265Zadanie 11.
266Zadanie 12.
266Zadanie 14.
266Zadanie 15.
266Zadanie 1.
277Zadanie 2.
277Zadanie 3.
278Zadanie 4.
278Zadanie 5.
278Zadanie 6.
278Zadanie 7.
278Zadanie 6.
284Zadanie 8.
284Zadanie 1.
291Zadanie 2.
291Zadanie 3.
291Zadanie 1.
302Zadanie 2.
302Zadanie 6.
302Zadanie 1.
308Zadanie 2.
308