W określonej grupie uczniów średnia wieku jest równa 11. Najstarszy uczeń ma 17 lat, zaś średnia wieku pozostałych uczniów wynosi 10 lat. Oblicz, ilu uczniów znajduje się w tej grupie.
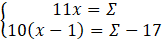
Odejmując stronami drugie równanie od pierwszego, otrzymujemy wynik:
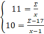
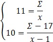
Oznacz przez x liczbę uczniów, zaś sumę lat wszystkich uczniów przez symbol sumy
Ćwiczenie 8.
263Zadanie 1.
265Zadanie 2.
265Zadanie 3.
265Zadanie 4.
265Zadanie 5.
265Zadanie 11.
266Zadanie 12.
266Zadanie 14.
266Zadanie 15.
266Zadanie 1.
277Zadanie 2.
277Zadanie 3.
278Zadanie 4.
278Zadanie 5.
278Zadanie 6.
278Zadanie 7.
278Zadanie 6.
284Zadanie 8.
284Zadanie 1.
291Zadanie 2.
291Zadanie 3.
291Zadanie 1.
302Zadanie 2.
302Zadanie 6.
302Zadanie 1.
308Zadanie 2.
308