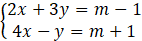
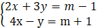
W tym zadaniu musisz określić, dla jakiego m podany układ równań
Rozważ wyznacznik równania:
Kolejne wyznaczniki:
Rozwiązania:
Podane rozwiązania są dodatnie, gdy:
Zatem
Rozwiąż podany układ metodą wyznaczników. Znajdź wyznacznik główny układu, a następnie wyznaczniki
Ćwiczenie 8.
263Zadanie 1.
265Zadanie 2.
265Zadanie 3.
265Zadanie 4.
265Zadanie 5.
265Zadanie 11.
266Zadanie 12.
266Zadanie 14.
266Zadanie 15.
266Zadanie 1.
277Zadanie 2.
277Zadanie 3.
278Zadanie 4.
278Zadanie 5.
278Zadanie 6.
278Zadanie 7.
278Zadanie 6.
284Zadanie 8.
284Zadanie 1.
291Zadanie 2.
291Zadanie 3.
291Zadanie 1.
302Zadanie 2.
302Zadanie 6.
302Zadanie 1.
308Zadanie 2.
308