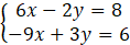
W tym zadaniu musisz rozwiązać układ równań
Metoda podstawiania:
Wyznaczamy z pierwszego równania y i podstawiamy do drugiego:
Otrzymane równanie jest sprzeczne, co oznacza, iż układ równań jest sprzeczny – nie ma rozwiązań.
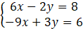
Metoda przeciwnych współczynników:
Dodaj stronami, a otrzymasz:
Otrzymane równanie jest sprzeczne, co oznacza, iż układ równań jest sprzeczny – nie ma rozwiązań.
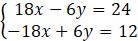
Metoda graficzna:
Wykresy równań są prostymi równoległymi i rozłącznymi, zatem układ równań jest sprzeczny – nie ma rozwiązań.
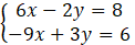
By rozwiązać układ metodą podstawiania wyznacz z pierwszego równania y i podstaw jego wartość do drugiego. Otrzymasz w ten sposób równość
Ćwiczenie 8.
263Zadanie 1.
265Zadanie 2.
265Zadanie 3.
265Zadanie 4.
265Zadanie 5.
265Zadanie 11.
266Zadanie 12.
266Zadanie 14.
266Zadanie 15.
266Zadanie 1.
277Zadanie 2.
277Zadanie 3.
278Zadanie 4.
278Zadanie 5.
278Zadanie 6.
278Zadanie 7.
278Zadanie 6.
284Zadanie 8.
284Zadanie 1.
291Zadanie 2.
291Zadanie 3.
291Zadanie 1.
302Zadanie 2.
302Zadanie 6.
302Zadanie 1.
308Zadanie 2.
308