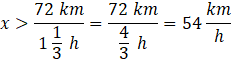
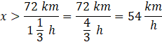
Wiedząc, iż z miejscowości A w stronę miejscowości B odległej od A o
Samochód poruszał się z szybkością większą niż
Oznacz szukaną szybkość jako x. Godzina i 20 minut to
Ćwiczenie 8.
263Zadanie 1.
265Zadanie 2.
265Zadanie 3.
265Zadanie 4.
265Zadanie 5.
265Zadanie 11.
266Zadanie 12.
266Zadanie 14.
266Zadanie 15.
266Zadanie 1.
277Zadanie 2.
277Zadanie 3.
278Zadanie 4.
278Zadanie 5.
278Zadanie 6.
278Zadanie 7.
278Zadanie 6.
284Zadanie 8.
284Zadanie 1.
291Zadanie 2.
291Zadanie 3.
291Zadanie 1.
302Zadanie 2.
302Zadanie 6.
302Zadanie 1.
308Zadanie 2.
308