W tym zadaniu musisz określić rozwiązania układu równań
Wyznacznik układu wynosi:
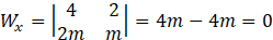
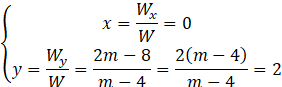
Kolejno wyznaczamy:
Układ jest zatem oznaczony tylko, gdy
Jeśli
Metoda wyznaczników to jedna z metod rozwiązywania układu równań za pomocą algebry macierzy. Technikę używaną w tym zadaniu nazywa się wzorami Cramera.
Ćwiczenie 8.
263Zadanie 1.
265Zadanie 2.
265Zadanie 3.
265Zadanie 4.
265Zadanie 5.
265Zadanie 11.
266Zadanie 12.
266Zadanie 14.
266Zadanie 15.
266Zadanie 1.
277Zadanie 2.
277Zadanie 3.
278Zadanie 4.
278Zadanie 5.
278Zadanie 6.
278Zadanie 7.
278Zadanie 6.
284Zadanie 8.
284Zadanie 1.
291Zadanie 2.
291Zadanie 3.
291Zadanie 1.
302Zadanie 2.
302Zadanie 6.
302Zadanie 1.
308Zadanie 2.
308