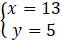
W tym zadaniu musisz rozwiązać układ równań
Dodaj stronami:
Podstawiając do pierwszego równania:
Rozwiązaniem jest para liczb:
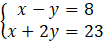
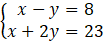
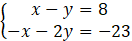
Pomnóż drugie równanie przez -1, a następnie dodaj oba stronami. Otrzymasz wartość y, którą podstaw do pierwszego równania, by otrzymać x.
Ćwiczenie 8.
263Zadanie 1.
265Zadanie 2.
265Zadanie 3.
265Zadanie 4.
265Zadanie 5.
265Zadanie 11.
266Zadanie 12.
266Zadanie 14.
266Zadanie 15.
266Zadanie 1.
277Zadanie 2.
277Zadanie 3.
278Zadanie 4.
278Zadanie 5.
278Zadanie 6.
278Zadanie 7.
278Zadanie 6.
284Zadanie 8.
284Zadanie 1.
291Zadanie 2.
291Zadanie 3.
291Zadanie 1.
302Zadanie 2.
302Zadanie 6.
302Zadanie 1.
308Zadanie 2.
308