Oblicz prędkość, z jaką jedzie turysta, wiedząc, że gdyby zwiększył swoją prędkość o pewną liczbę kilometrów na godzinę, to drogę
Wyznacznik układu:
Następne wyznaczniki:
Rozwiązania:
Oznacz przez x szybkość turysty, a przez y – zmianę tej szybkości. Przez z oznacz szybkość turysty.
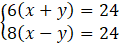
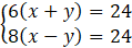
Analizując tekst, ułóż układ równań:
Jednym ze sposobów rozwiązania układu jest wyznaczenie x i y metodą wyznaczników. Znajdź wyznacznik główny układu, a następnie wyznaczniki
Ćwiczenie 8.
263Zadanie 1.
265Zadanie 2.
265Zadanie 3.
265Zadanie 4.
265Zadanie 5.
265Zadanie 11.
266Zadanie 12.
266Zadanie 14.
266Zadanie 15.
266Zadanie 1.
277Zadanie 2.
277Zadanie 3.
278Zadanie 4.
278Zadanie 5.
278Zadanie 6.
278Zadanie 7.
278Zadanie 6.
284Zadanie 8.
284Zadanie 1.
291Zadanie 2.
291Zadanie 3.
291Zadanie 1.
302Zadanie 2.
302Zadanie 6.
302Zadanie 1.
308Zadanie 2.
308