Określ, o jakich liczba mowa, bazując na zamieszczonych danych:
Suma dwóch liczb naturalnych równa jest 65. Po podzieleniu jednej liczby przez drugą otrzymujemy iloraz 4 oraz resztę, wynoszącą 5.
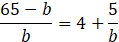
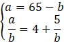
Wyznacz z pierwszego a i podstaw do drugiego:
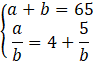
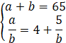
Oznacz szukane liczby jako a i b. Po analizie treści otrzymujesz układ równań:
Wyznacz z pierwszego a i podstaw do drugiego. Otrzymasz wartość
Ćwiczenie 8.
263Zadanie 1.
265Zadanie 2.
265Zadanie 3.
265Zadanie 4.
265Zadanie 5.
265Zadanie 11.
266Zadanie 12.
266Zadanie 14.
266Zadanie 15.
266Zadanie 1.
277Zadanie 2.
277Zadanie 3.
278Zadanie 4.
278Zadanie 5.
278Zadanie 6.
278Zadanie 7.
278Zadanie 6.
284Zadanie 8.
284Zadanie 1.
291Zadanie 2.
291Zadanie 3.
291Zadanie 1.
302Zadanie 2.
302Zadanie 6.
302Zadanie 1.
308Zadanie 2.
308