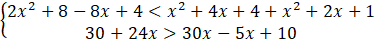
W tym zadaniu musisz rozwiązać układ nierówności
Rozwiązanie to przedział:
W pierwszej nierówności rozwiń wszystkie nawiasy. Drugą z nierówności pomnóż razy 30. Następnie pozostaw w obu nierównościach wyrazy z x po lewej stronie, a całą resztę – po prawej. Rozwiązaniem jest część wspólna zbiorów rozwiązań obu nierówności. Pamiętaj, iż mnożąc nierówność przez liczbę ujemną, zmienia się znak nierówności.
Ćwiczenie 8.
263Zadanie 1.
265Zadanie 2.
265Zadanie 3.
265Zadanie 4.
265Zadanie 5.
265Zadanie 11.
266Zadanie 12.
266Zadanie 14.
266Zadanie 15.
266Zadanie 1.
277Zadanie 2.
277Zadanie 3.
278Zadanie 4.
278Zadanie 5.
278Zadanie 6.
278Zadanie 7.
278Zadanie 6.
284Zadanie 8.
284Zadanie 1.
291Zadanie 2.
291Zadanie 3.
291Zadanie 1.
302Zadanie 2.
302Zadanie 6.
302Zadanie 1.
308Zadanie 2.
308