Oblicz, ile lat mają obecnie córka, ojciec oraz babcia, wiedząc, że gdy ojciec będzie w wieku babci, będzie miał razem ze swoją córką 81 lat. Z kolei gdy córka osiągnie wiek ojca, razem z nim będzie miała 79 lat, a ojciec z babcią będą mieli wówczas 126 lat.
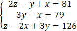
Mnożąc trzecie równanie przez -1 i podstawiając do drugiego:
Z drugiego:
Podstawiamy z, a następnie x do pierwszego równania:
Wstawiamy x:
Teraz do wyznaczonego x:
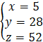
Stąd ostatecznie:
Czyli:
Oznacz przez x wiek córki, przez y wiek ojca, a przez z – wiek babci
Gdy ojciec będzie miał z lat to
Rozwiązać to możesz metodą przeciwnych współczynników. Pomnóż trzecie równanie przez
Ćwiczenie 8.
263Zadanie 1.
265Zadanie 2.
265Zadanie 3.
265Zadanie 4.
265Zadanie 5.
265Zadanie 11.
266Zadanie 12.
266Zadanie 14.
266Zadanie 15.
266Zadanie 1.
277Zadanie 2.
277Zadanie 3.
278Zadanie 4.
278Zadanie 5.
278Zadanie 6.
278Zadanie 7.
278Zadanie 6.
284Zadanie 8.
284Zadanie 1.
291Zadanie 2.
291Zadanie 3.
291Zadanie 1.
302Zadanie 2.
302Zadanie 6.
302Zadanie 1.
308Zadanie 2.
308