W tym zadaniu musisz podać wartości
Liczby a i b muszą spełniać równania:
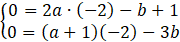
Podstawiając do pierwszego:
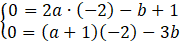
Zauważ, iż jeśli funkcje przecinają się w podanym punkcie, to y obu funkcji jest w tym punkcie równy 0, a x jest równy -2. Utwórz z tego układ równań:
Ćwiczenie 8.
263Zadanie 1.
265Zadanie 2.
265Zadanie 3.
265Zadanie 4.
265Zadanie 5.
265Zadanie 11.
266Zadanie 12.
266Zadanie 14.
266Zadanie 15.
266Zadanie 1.
277Zadanie 2.
277Zadanie 3.
278Zadanie 4.
278Zadanie 5.
278Zadanie 6.
278Zadanie 7.
278Zadanie 6.
284Zadanie 8.
284Zadanie 1.
291Zadanie 2.
291Zadanie 3.
291Zadanie 1.
302Zadanie 2.
302Zadanie 6.
302Zadanie 1.
308Zadanie 2.
308